Расчет дымоходов для дровяных печей. Как рассчитать диаметр дымохода
- Расчет дымоходов для дровяных печей. Как рассчитать диаметр дымохода
- Калькулятор расчета дымохода. Калькулятор проверки уровня естественной тяги дымохода
- Как влияет диаметр дымохода на тягу. От чего зависит тяга дымохода, как ее рассчитать и усилить
- Онлайн калькулятор расчета диаметра дымохода. Калькулятор расчета сечения дымохода камина
- Расчет дымохода по мощности котла. Материалы для возведения труб котельных
Расчет дымоходов для дровяных печей. Как рассчитать диаметр дымохода
При проектировании дымохода, необходимо выбрать тот материал, который использовать. А материал во многом зависит от того, какое топливо будет использоваться при отоплении. Ведь дымоход предназначен для вывода остатков горения одного топлива, и не подойдет при другом. Например, дымоходная труба из кирпича прекрасно функционирует с дровами, но не годится для отопительных приборов, работающих с газовым топливом.
Кроме этого, необходим верный расчет диаметра домоходной трубы. Если дымоотвод используется для одного обогревательного прибора, проблему можно решить, просмотрев технические документы, предоставленные заводом, изготовившим прибор. А если в одну трубу подключается несколько разных систем, то для расчета дымохода, нужно знание законов термодинамики, профессиональный расчет, особенно диаметр трубы. Неправильно считать, что диаметр нужен побольше.
Шведский метод
Среди разных способов расчета диаметра, важна оптимально подходящая схема, особенно если приборы низкотемпературные и длительного горения.
Для определения высоты учитывают отношение площади сечения дымоходной трубы к внутренней камере сгорания. Высоту трубы определяют соответственно графику:

Где f — площадь разреза дымохода, а F – площадь топки.
Пусть, к примеру площадь сечения топки F равна 70*45=3150 кв. см, а сечение дымоходной трубы f — 26*15=390. Соотношение между приведенными параметрами составляет (390/3150)*100%=12,3%. Сверив полученный результат с графиком, видим что высота дымохода примерно равна 5 м.
Важно! Такой метод вычисления больше подходит для каминных приборов, ведь здесь не учитывается объем воздуха внутри топки.
Важно! В случае установки дымоотвода для сложных отопительных систем важно рассчитать параметры дымоотводящей трубы.
Точный расчет
Чтобы рассчитать нужное сечение дымохода, обязательно учесть все его характеристики. Для примера можно выполнить стандартный подсчет размеров дымоотвода, подключаемой к дровяной печи. Берут такие данные для вычислений:
- температура отходов горения в трубе равна t=150°С;
- скорость прохождения по трубопроводу отходов равна 2 м/с;
- скорость сгорания дров B равна 10 кг/ч.
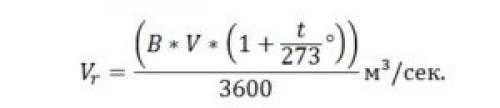
Если следовать этим показателям, можно заняться расчетами. Для этой цели вычисляют количество выходящих продуктов горения по формуле:

Здесь V равен количеству воздуха, который требуется для сгорания топлива со скоростью v= 10 кг/час. Оно равно 10 м³/кг.


Калькулятор расчета дымохода. Калькулятор проверки уровня естественной тяги дымохода
Поддержание нормальной тяги в дымоходе – одно из основополагающих условий безопасной и эффективной эксплуатации печей, каминов, котлов. Создающийся по физическим законам, естественный ток газов в трубе обеспечивает и отвод продуктов сгорания, и подачу воздуха в топочную камеру – без этого горение невозможно.

Калькулятор проверки уровня естественной тяги дымохода
Так как тяга, по сути, обусловлена разницей плотности газов в нижней и верхней части трубы, то она отлично «описывается» физическими формулами и, так сказать, поддается измерению. То есть можно еще на стадии проектирования отопительной системы или нагревательного прибора сразу просчитать и этот важный параметр.
Есть несколько алгоритмов расчета этой величины. Один из них послужил основой, на которой создан предлагаемый вниманию калькулятор проверки уровня естественной тяги дымохода.
Необходимые разъяснения будут даны ниже.
Калькулятор проверки уровня естественной тяги дымохода
Пояснения по проведению расчетов
Показатели естественной тяги — это разница в давлении газов на входе в трубу и открытого воздуха на выходе из нее. Чем больше эта разница, тем активнее происходит перетекание газообразных продуктов сгорания наружу.
Расчетами и практикой эксплуатации давно доказано, что для качественного отвода дыма и своевременной подачи необходимого для горения воздуха необходим ориентировочный перепад давления (разряжения) в 4 паскаля (0,03 мм ртутного или 0,408 мм водяного столба) на каждый погонный метр высоты трубы. Например, если планируется возведение трубы высотой 7 метров, то следует стремиться к тому, чтобы тяга в ней составила минимум 28 Па. Впрочем, производители отопительного оборудования часто в паспортных данных прямо указывают минимальную величину тяги.
От чего тяга зависит? – как раз те данные, которые предстоит ввести в предложенный калькулятор.(Интересно, что от площади сечения канала перепад давления практически не зависит).
- Высота дымохода – в метрах. Важно – это должна быть именно чистая разница высот, а не длина используемых для прокладки дымохода труб с их горизонтальными или наклонными участками.
А где взять значение высоты дымоходной трубы?
Оно обычно определяется при проектировании. Минимум должно быть – 5 метров, но особенности здания конструкции здания и его соседство с другими объектами могут внести очень серьезные коррективы в этот показатель. Подробнее об этом – в статье, посвященной печным дымоходам . А удобный онлайн-калькулятор поможет определиться с оптимальным сечением дымоходной трубы , обеспечивающим полное отведение продуктов сгорания.
- Атмосферное давление. В принципе, конечно, можно взять для расчетов и нормальное, например, 750 мм ртутного столба. Но в некоторых местностях, например, расположенных на взгорьях, норма бывает и совершенно иной. Кроме того, можно проверить, как будет меняться тяга с изменением давления.
- Далее, идут три температурных показателя:
— Температура воздуха на улице. Так как с понижением температуры тяга, понятное дело, возрастает, то расчеты желательно проводить для наиболее неблагоприятных условий. То есть для самой высокой температуры воздуха на улице, при которой возможен запуск обогревательного (отопительного) прибора или печи. Несложно провести расчеты и для всего возможного диапазона.
— Температура на входе в дымоход – максимальный в данном случае показатель. Во многом зависит от типа применяемого топлива и уровня теплообмена в печи или котле, от регулировки потока шибером или задвижкой.
— Температуры в устье дымохода. Зависит от типа дымохода, наличия на нем теплообменных приборов, материала изготовления, расположения степени термоизоляции его стенок.
Кстати – эти «полярные» значения температур в дымоходе всегда должны заслуживать пристального внимания владельцев. Следует стремиться к достижению тем или иным способом оптимального режима, обеспечивающего и эффективность, и безопасность работы прибора. Это для твердотопливных агрегатов примерно 400÷500 ℃ на входе и 150÷200 ℃ на выходе. Для газового оборудования – показатели значительно ниже, и на выходе в современных котлах могут быть даже менее 100 градусов.
А вот банные печи, особенно не имеющие дополнительного теплоотвода, (например, нагревательного водяного бака на трубе), могут работать в чрезвычайно опасном режиме, когда владельцы стремятся в кратчайший срок нагнать в парной жару.
То есть управление температурой в дымоходе использованием шиберов, задвижек, другими элементами управления – это отдельная тема для обстоятельного разговора.
- А по калькулятору – осталось только нажать кнопку и получить готовый результат – разрежение (тягу) выраженную в паскалях. Ну и сравнить ее с оптимальным значением. Если все в норме – отлично Если тяга недостаточная – придется думать, как и чем можно эту ситуацию исправить.
Как влияет диаметр дымохода на тягу. От чего зависит тяга дымохода, как ее рассчитать и усилить
Тяга – это отдельный процесс аэродинамического характера, при котором продукты горения движутся из зоны с повышенным уровнем давления в зону с более низким показателем. В связи с этим тяга дымохода является наиболее важным параметром при расчете всей отопительной системы частного дома. При неправильном расчете возникает обратная тяга, при которой продукты горения не отводятся, а попадают в жилое помещение. От каких факторов зависит уровень тяги? Как правильно произвести расчет параметра? Какими способами можно усилить тягу при недостаточности? Читайте далее.

Процесс отвода продуктов горения
Что такое тяга
Процесс образования естественной тяги в дымоходе можно описать с точки зрения такой науки, как физика следующим образом:
- газы, раскаленные за счет сгорания в печи (котле) дров или их аналогов, имеют температуру около 1000ºС;
- по законам физики прогретый воздух всегда поднимается вверх;
- поднимаясь по специальной трубе (со скоростью приблизительно 2 м/с) газы создают область пониженного давления;
- давление стабилизируется за счет притока свежего воздуха, который попадает в печь (котел) через специальные поддувала, колосниковые решетки и иное аналогичное оборудование.

Движение газов при правильной тяге
Исходя из физических процессов образования естественной тяги в трубе, можно определить перечень факторов, влияющих на ее величину. К ним относятся:
- длина дымохода. В соответствии с действующими нормами длина дымоотводного канала не должна быть менее 5 м. Оптимальный показатель длины можно определить, исходя их места расположения дымохода на крыше;

Расчет длины дымохода в соответствии с его расположением
- материал, из которого изготовлен. Чтобы максимально облегчить прохождение газов, рекомендуется изготавливать дымоход из материалов с ровной внутренней поверхностью. А если это правило не соблюдено, то прибегать к периодической чистке канала для удаления сажи и иных отложений;
- наличие/отсутствие утеплителя. Если дымовой канал не утеплен с внешней стороны, то при остывании газов будет образовываться большое количество конденсата, который негативно влияет на уровень тяги;

Защита от образования конденсата
Производить утепление дымохода можно только негорючими материалами.
- сечение трубы. Именно от правильно подобранного диаметра дымовой трубы и зависит уровень тяги.
Тяга в дымоотводящем канале также обуславливается и естественными факторами:
- температурой и влажностью внутри жилого помещения;
- погодными условиями (ветер, осадки, низкая температура и так далее);
- количеством проживающих;
- периодичностью проветривания и так далее.
Как проверить наличие/отсутствие тяги? Произвести проверку уровня тяги в трубе можно при помощи зажженной спички, свечи или бумаги.

Самостоятельная проверка тяги в трубе
Расчет тяги
Итак, расчет тяги – это расчет сечения дымовой трубы для газового котла, камина, печи или иного отопительного оборудования. Как рассчитать сечение? Для этого необходимо определить:
- объем газа, который будет проходить по дымовой трубе за 1 час;
- площадь сечения дымовой трубы;
- диаметр сечения.
Расчет объема газа
Для вычисления объема проходящего по дымовому каналу газа используется следующая формула:
V = B x V1 x (1 + T/273) /3600 , где
В – масса топлива, сжигаемая за 1 час работы отопительного оборудования;
V1 – поправочный коэффициент, который зависит от вида используемого для обогрева топлива;
Т – температура газа, определенная на выходе из дымовой трубы.
Показатели V1 и Т можно получить из таблицы, имеющейся в ГОСТ 2127 – 47.

Таблица из ГОСТ для определения параметров расчета
Расчет площади сечения
После определения объема газов, проходящих по дымовому каналу, можно подсчитать размер сечения трубы:
S = V/W , где
V – объем, подсчитанный ранее;
W – скорость прохождения газов по дымовому каналу (данная величина постоянная и равна 2 м/с).
Определение диаметра
Следующий шаг – определение непосредственно диаметра дымовой трубы. Для этого используется следующая формула:
D = √4 * S/ π , где
S – площадь сечения дымоотводящего канала;
π – постоянная, равная 3,14.
Пример
Для примера произведем расчет по указанным формулам при следующих параметрах:
- в печи, установленной в бане, ежечасно сжигается 10 кг дров;
- температура газов на выходе из трубы составляет 130ºС.
Онлайн калькулятор расчета диаметра дымохода. Калькулятор расчета сечения дымохода камина
Многие владельцы частных домов мечтают о камине – этом олицетворении особого уюта, располагающего к спокойному комфортному отдыху в зимние холода. Подобную мечту вполне можно воплотить в жизнь – приобрести уже готовый камин заводского изготовления, или сложить «классическое» сооружение из кирпича.

Калькулятор расчета сечения дымохода камина
Если приобретается готовое изделие, то особых проблем не предвидится – производитель уже до мелочей предусмотрел размеры самого прибора и диаметр необходимой для него дымоходной трубы. С кирпичным камином все обстоит несколько сложнее, особенно, если хозяин сам решил взяться за его проектирование. Должно быть учтено немало размерных нюансов, и один из них – это оптимальное сечение дымоотводного канала, от которого зависит и эффективность работы камина, и обеспечение безопасности его эксплуатации. Помочь с этим вопросом может калькулятор расчета сечения дымохода камина, размещенный ниже.
Во втором подразделе публикации будут приведено несколько необходимых пояснений по проведению расчетов.
Калькулятор расчета сечения дымохода камина
На чем основан и как проводится расчёт?
Дымоход является одним из основных элементов камина, и его размеры должны строго соответствовать особенностям обогревательного прибора (сооружения). Причем, эта зависимость – достаточно многогранная.
Дымоходная труба, сооруженная «на глазок», или в угоду только внешним декоративным качествам камина, без учета его параметров, может привести к целому ряду негативных последствий. Существуют специальные нормативы, которые регламентируют площадь сечения дымохода в зависимости от общей площади топливного окна. Считается, что примерное соотношение площадей должно быть 1:10. Однако, трубы различной конфигурации сечения (круглые, квадратные или прямоугольные) имеют свои специфические аэродинамические особенности, поэтому указанное соотношение может меняться в ту или иную сторону.
Цены на домашний камин
камин
Кроме того, сюда же вносит свою «лепту» и высота дымоходной трубы, отсчитываемая от колосниковой решетки (дна топочной камеры) до верхнего торца (устья). С увеличением высоты (до определённых пределов) возрастает и тяга, и это тоже сказывается на расчётном значении соотношения площадей дымоходного канала и топливного окна.
Таблицу в данном случае приводить нет смысла, так как все необходимые значения из нее уже заложены в программу калькулятора.
- Значения ширины и высоты каминного окна вносятся в миллиметрах.
- Высота дымоходной трубы представлена в диапазоне от 5 до 11 метров. Менее 5 метров – недопустимо по правилам безопасности (СНиП напрямую запрещает это), а при высоте трубы более 10-11 метров камин начинает работать неэффективно – становится слишком «прожорливым», но без необходимой теплоотдачи. Приходится принимать дополнительные меры по искусственному снижению тяги.
- В отдельном окне калькулятора будет предложено указать форму канала – круг или прямоугольник (квадрат).
- В соответствии с этим выбором и берется значение после проведения расчета.
— А – диаметр круглого дымохода (в миллиметрах);
— Б – длина стороны квадратного канала (в миллиметрах)
— В – значение для прямоугольного канала дано в единицах площади (в квадратных сантиметрах), так как здесь возможны варианты – удлинение одной стороны за счет укорочения другой.
Следует правильно понимать, что калькулятор дает минимальные ориентировочные значения. Безусловно, на практике они приводятся или к долям кирпича (при кладке кирпичной трубы), или к стандартным диаметрам труб (для металлических или керамических дымоходов).
Сложно ли самостоятельно сложить камин?
Не обольщайтесь, что кладка небольшого камина выглядит простой – в этом деле очень много нюансов, и стоит очень хорошо все взвесить, прежде чем приниматься за самостоятельную работу. Подробнее о сооружении кирпичного камина своими руками – в соответствующей статье нашего портала.
Расчет дымохода по мощности котла. Материалы для возведения труб котельных
Системы для отвода дыма возводят из разных материалов — кирпича, стали, керамики, полимера. Дымоход из кирпича , сооружаемый над кирпичными печами и каминами, отличается хорошей механической прочностью, отличной теплоемкостью, достаточно высокой степенью пожаробезопасности.
Недостатков у этих конструкций тоже немало, поэтому в современном строительстве полностью кирпичные дымоходы встречаются все реже. Нормативные документы ограничивают высоту кирпичных труб 30-70 м, а диаметр 0,6-8 м.
На стенках кирпичной трубы со множеством выступов и углублений внутри, всегда оседает много конденсата, копоти, содержащей оксиды серы. Последние, вступая в реакцию с водой, образует кислоты, активно разрушающие кирпич.
Неровности поверхности, сужение прохода в результате постепенного нарастания слоя сажи, становятся причиной снижения скорости прохода дыма и опрокидывания тяги в дымоотводном канале.
Более устойчивы к конденсату и воздействиям внешних факторов дымоходы из керамики , у них высокая огнеупорность. Но эта система имеет большой вес, т.к. внутри находятся металлические стержни, придающие ей дополнительную прочность. Отсюда вытекают требования по обязательной устройству отдельного фундамента, опор, что повышает трудоемкость и стоимость монтажа.
Полимерные дымоотводные трубы уместны в котельных с максимальной температурой 250 градусов С, при монтаже газовых колонок . Они легкие, гибкие и долговечные, но актуальны только для газового оборудования.
Устройство для отвода дыма из нержавеющей стали – сборка, состоящая из отдельных элементов дымохода, соединенных между собой при помощи фасонных деталей: тройников, патрубков, дефлекторов, тройников, отводов. Стальными дымовыми трубами оснащают преимущественно газовые котлы.
Монтаж такого дымохода может быть выполнен и после постройки здания в короткие сроки. Существует большой ассортимент соединительных деталей, поэтому трубе можно придать любую конфигурацию.
Модульный дымоход можно без особого труда демонтировать и перенести в другое место. Преимуществом конструкции является и ее небольшой вес, что позволяет обойтись без фундамента, устойчивость к воздействию влаги, незначительное отложение копоти на внутренних стенках, высокая скорость прохождения дымовых газов.
Санитарно-технические нормы разрешают применять стальные трубы для сооружения дымоходов высотой более 30 м, исключение возможно только в том случае, когда за сутки расходуется менее 5 т многозольного топлива. Причина в том, что срок службы таких сооружений составляет 10 лет, а если используется высокосернистое топливо, он существенно сокращается.
К разновидностям, корпус которых выполнен из стального сплава, относятся коаксиальные дымоходы , с конструктивной спецификой и особенностями эксплуатации которых рекомендуем ознакомиться.